Daniel Figueroa (IFIC/CERN) — Gravitational waves from dark matter string networks
Don't miss any Success Story following us on X and LinkedIn!
@RES_HPC RES - Red Española de Supercomputación
Check this Success Story at our LinkedIn: Gravitational waves from dark matter string networks
💡 A new RES Success Story aiming to delve into the very first second of the Universe 💡
📋 "Gravitational waves from dark matter string networks" led by Daniel G. Figueroa from Instituto de Física Corpuscular (IFIC)/CERN
The physics behind the very first second of the Universe are still uncertain since they involve high-energy processes that are not currently testable by any means. Understanding this phenomena could open a path to discover physics beyond the Standard Model, but they are not accessible using electromagnetic probes since, in such early times, light couldn't move freely.
💫 Many processes in the early Universe are governed by non-linear dynamics, leading to Gravitational Waves (GW) production. These waves can propagate freely and arrive to us in the form of a Gravitational Wave Background (GWB) carrying information about the processes that emitted them.
A well motivated early Universe scenario is the formation of cosmic strings. They are one-dimensional stable defects that arise from cosmological phase transitions, similar to how cracks form in ice as water freezes, and decay via emission of GW. One relevant example are axions, very light and electrically neutral particles that weakly interacts with matter, and are natural candidates to explain dark matter.
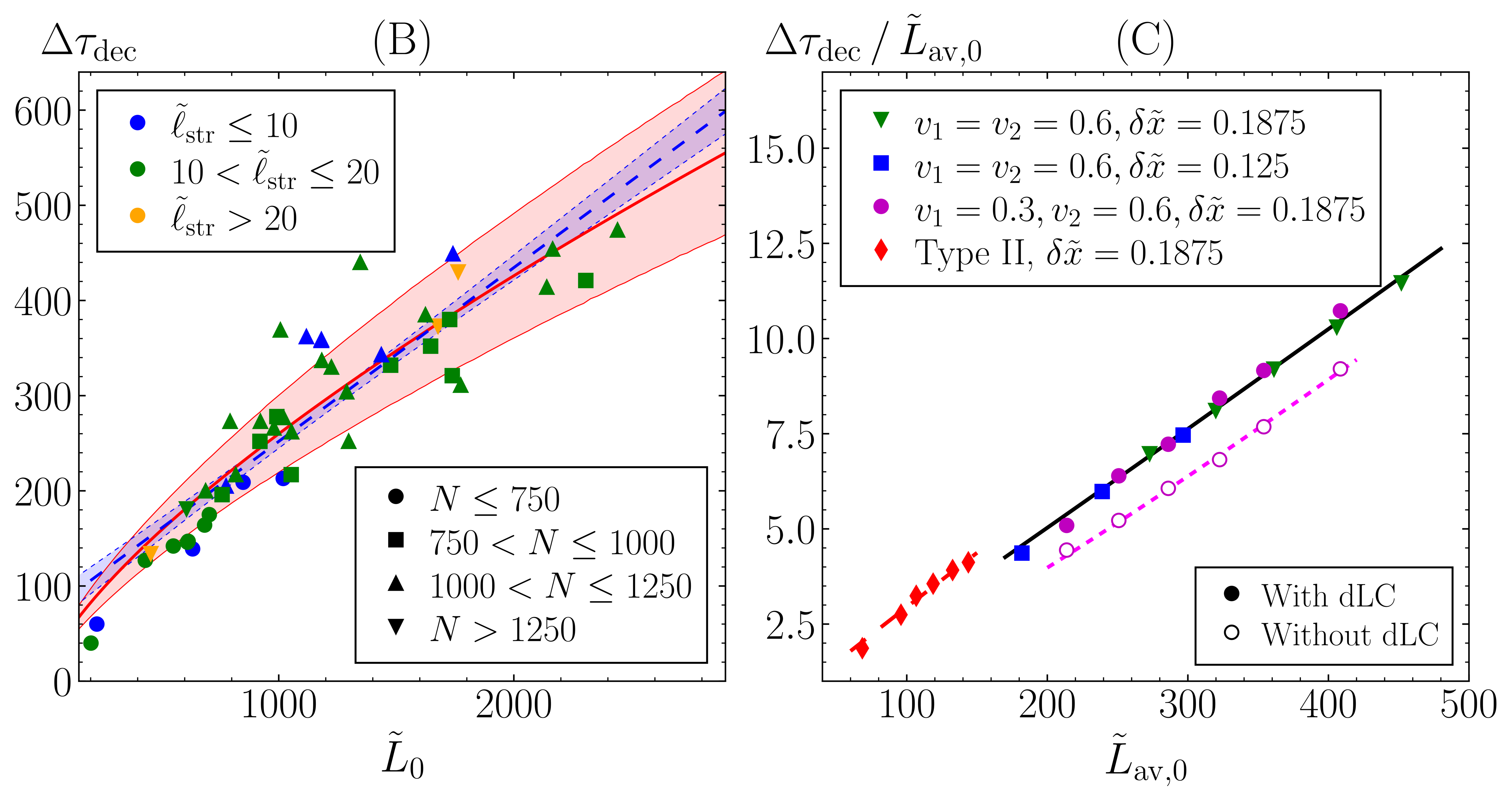
The strings have an external (long) structure, which accounts for GW decay, and an internal structure, which accounts for particle emission and is typically neglected. However, for accurate predictions of the GWB, both structures must be considered to account for both emissions and require precise simulations.
🖥 Thanks to RES supercomputer #MareNostrum5 GPP, the team simulated cosmic string loops with a sufficient width/length ratio to account for GW emission, while maintaining sufficient resolution of the string core to account for particle emission.
They simulated two kinds of local string loops: network loops, originated from phase transitions and potentially realistic, and artificial loops created for studying certain properties of the strings. They found that, for both loops, the GW emission doesn't depend on their size, while their particle emission does. Particularly, artificial loops suppress particles emission, while
network loops (the most realistic) enhance it, meaning that its contribution to the GWB would be very suppressed.
📸 The images show, in order: a network loop, an artificial loop, the emission power of the two loops compared and the decay time of both loops compare:



